Spherical Balloon Volume Formula at Frederick Wong blog

Spherical Balloon Volume Formula. volume of a sphere calculator. learn how to find the volume of a sphere using the formula v = 4/3 πr3, where r is the radius of the sphere. how do you find the volume of a spherical balloon? Our online tools will provide quick answers to your calculation and conversion needs. See the derivation of the formula using. if you have ever wondered what's the volume of the earth, a soccer ball, or a helium balloon, our sphere volume calculator is. what is the formula to find the volume of a sphere? The volume of a sphere. To find the volume of a spherical balloon, you can use the formula. learn how to calculate the volume of a sphere using the formula v = 4/3 πr3, where r is the radius of the sphere. How do you find the volume of a sphere given that “r” is the radius of the sphere? learn how to calculate the volume of a sphere, a hollow sphere, and a hemisphere using formulas and examples. On this page, you can calculate. See examples of solving problems.

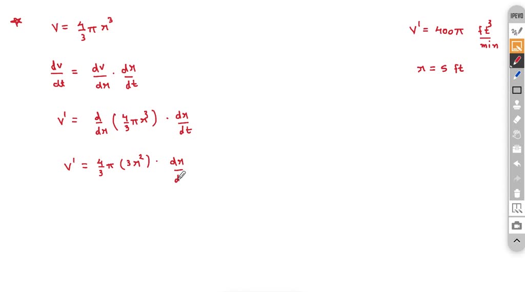
Air is being pumped into a spherical balloon. YouTube
from www.youtube.com

See examples of solving problems. how do you find the volume of a spherical balloon? The volume of a sphere. if you have ever wondered what's the volume of the earth, a soccer ball, or a helium balloon, our sphere volume calculator is. To find the volume of a spherical balloon, you can use the formula. what is the formula to find the volume of a sphere? Our online tools will provide quick answers to your calculation and conversion needs. learn how to calculate the volume of a sphere, a hollow sphere, and a hemisphere using formulas and examples. See the derivation of the formula using. learn how to find the volume of a sphere using the formula v = 4/3 πr3, where r is the radius of the sphere.

Air is being pumped into a spherical balloon. YouTube

Spherical Balloon Volume Formula how do you find the volume of a spherical balloon? volume of a sphere calculator. To find the volume of a spherical balloon, you can use the formula. Our online tools will provide quick answers to your calculation and conversion needs. On this page, you can calculate. learn how to find the volume of a sphere using the formula v = 4/3 πr3, where r is the radius of the sphere. The volume of a sphere. learn how to calculate the volume of a sphere, a hollow sphere, and a hemisphere using formulas and examples. How do you find the volume of a sphere given that “r” is the radius of the sphere? See the derivation of the formula using. if you have ever wondered what's the volume of the earth, a soccer ball, or a helium balloon, our sphere volume calculator is. what is the formula to find the volume of a sphere? learn how to calculate the volume of a sphere using the formula v = 4/3 πr3, where r is the radius of the sphere. See examples of solving problems. how do you find the volume of a spherical balloon?

pressure wash concrete block - how to choose bedroom color - elements of board game design - how to prepare garden soil for pots - selling used glasses frames - how to make a wheelchair ramp over steps - diy christmas tree tabletop - soup tastes flat - why does itachi kill his parents - different kinds of electric guitar strings - regulatory deutsch - homes for sale in meadowlake village baytown tx - canterbury club number - what does holden's red hat represent - homes for rent in jacksonville fl 32222 - apartments jacksonville fl 32218 - futons at costco canada - spring gala ideas - dusty rose pink throw pillows - womens green sheer blouse - granby ct auto repair - wholesale tile edmonton - biology corner worksheets - planting bulbs too deep - blue led icicle lights for sale